|
[MỤC LỤC]
1. Giới thiệu về công thức tính gia tốc 2. Các dạng công thức tính gia tốc phổ biến |
Gia tốc là một trong những khái niệm quan trọng trong vật lý, đặc biệt xuất hiện nhiều trong chương trình học phổ thông và các kỳ thi. Hiểu rõ công thức tính gia tốc không chỉ giúp bạn làm tốt bài tập mà còn giúp lý giải nhiều hiện tượng xảy ra trong đời sống hàng ngày.
Gia tốc được hiểu là đại lượng đặc trưng cho sự thay đổi vận tốc theo thời gian. Khi một vật tăng tốc, giảm tốc hoặc đổi hướng chuyển động, đều có sự xuất hiện của gia tốc. Điều này có nghĩa là gia tốc không chỉ liên quan đến tốc độ nhanh hay chậm, mà còn liên quan đến hướng chuyển động.
Trong thực tế, gia tốc xuất hiện ở khắp nơi như xe tăng tốc khi đạp ga, vật rơi tự do, hay tàu hỏa giảm tốc khi vào ga. Vì vậy, việc nắm vững cách tính gia tốc sẽ giúp bạn hiểu rõ hơn về thế giới xung quanh cũng như nâng cao khả năng giải bài tập vật lý.
Công thức tính gia tốc cơ bản
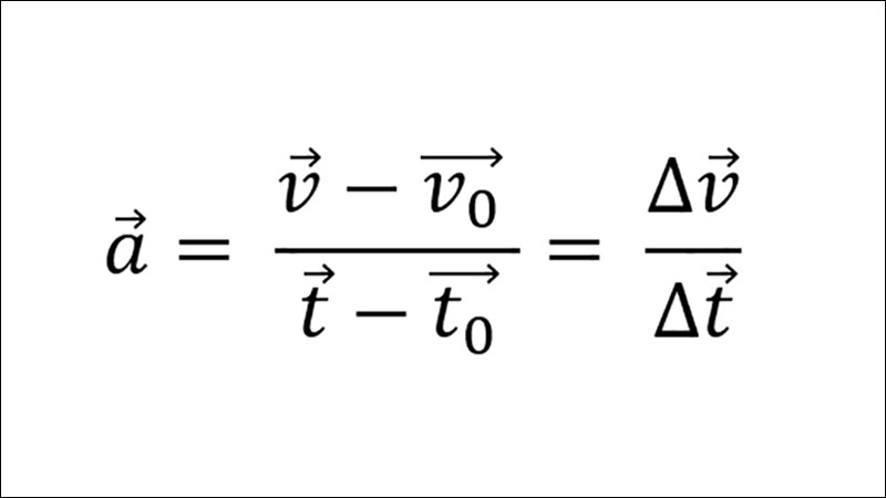
Gia tốc được xác định bằng sự thay đổi vận tốc trong một khoảng thời gian nhất định. Công thức cơ bản như sau:
a = (v - v₀) / t
Trong đó:
a là gia tốc (đơn vị: m/s²)
v là vận tốc cuối
v₀ là vận tốc ban đầu
t là thời gian
Ý nghĩa của công thức:
Gia tốc cho biết vận tốc thay đổi nhanh hay chậm theo thời gian. Nếu giá trị gia tốc lớn, vận tốc thay đổi nhanh. Ngược lại, nếu gia tốc nhỏ, vận tốc thay đổi chậm.
Một số trường hợp đặc biệt:
Nếu a > 0: vật chuyển động nhanh dần
Nếu a < 0: vật chuyển động chậm dần
Nếu a = 0: vật chuyển động thẳng đều
Đơn vị của gia tốc là mét trên giây bình phương (m/s²), thể hiện mức độ thay đổi vận tốc trong mỗi giây.

Công thức tính gia tốc
Gia tốc trung bình
Gia tốc trung bình được sử dụng khi vận tốc thay đổi không đều trong khoảng thời gian. Công thức:
a_tb = (v₂ - v₁) / (t₂ - t₁)
Dạng này thường gặp trong các bài toán có dữ liệu theo từng giai đoạn.
Gia tốc tức thời
Gia tốc tức thời là gia tốc tại một thời điểm cụ thể. Trong chương trình phổ thông, khái niệm này thường được hiểu đơn giản là gia tốc tại một điểm trong chuyển động.
Gia tốc trong chuyển động thẳng biến đổi đều
Trong chuyển động thẳng biến đổi đều, gia tốc không đổi theo thời gian. Ngoài công thức cơ bản, ta có thêm các công thức liên quan:
v = v₀ + at
s = v₀t + (1/2)at²
v² = v₀² + 2as
Các công thức này giúp giải nhiều dạng bài khác nhau liên quan đến quãng đường, vận tốc và thời gian.
Gia tốc rơi tự do
Khi vật rơi trong điều kiện không có lực cản không khí, gia tốc được gọi là gia tốc rơi tự do.
g ≈ 9,8 m/s²
Trong đó:
g là gia tốc trọng trường
Giá trị này gần như không đổi trên bề mặt Trái Đất
Gia tốc rơi tự do luôn hướng xuống dưới, về phía tâm Trái Đất.

Gia tốc trong không gian
Bài tập cơ bản
Một chiếc xe bắt đầu chuyển động với vận tốc ban đầu bằng 0. Sau 5 giây, xe đạt vận tốc 20 m/s. Tính gia tốc của xe.
Giải:
Áp dụng công thức:
a = (v - v₀) / t
a = (20 - 0) / 5 = 4 m/s²
Kết luận: Gia tốc của xe là 4 m/s².
Bài tập nâng cao
Một vật chuyển động với vận tốc ban đầu 10 m/s, gia tốc 2 m/s² trong 6 giây. Tính vận tốc cuối và quãng đường đi được.
Giải:
Tính vận tốc cuối:
v = v₀ + at
v = 10 + 2 × 6 = 22 m/s
Tính quãng đường:
s = v₀t + (1/2)at²
s = 10 × 6 + (1/2) × 2 × 36
s = 60 + 36 = 96 m
Kết luận:
Vận tốc cuối là 22 m/s
Quãng đường đi được là 96 m
Bài tập rơi tự do
Một vật rơi tự do từ trạng thái nghỉ trong 3 giây. Tính vận tốc khi chạm đất.
Giải:
v = g × t
v = 9,8 × 3 = 29,4 m/s
Kết luận: Vận tốc khi chạm đất là 29,4 m/s.

Học sinh trong giờ
Gia tốc không chỉ tồn tại trong sách vở mà còn có rất nhiều ứng dụng trong thực tế đời sống và kỹ thuật.
Trong giao thông
Gia tốc giúp xác định khả năng tăng tốc và giảm tốc của phương tiện. Khi bạn đạp ga, xe tăng tốc nhờ gia tốc dương. Khi phanh, xe giảm tốc do gia tốc âm. Việc hiểu rõ điều này giúp lái xe an toàn hơn.
Trong thể thao
Các vận động viên chạy nước rút cần đạt gia tốc lớn trong thời gian ngắn để giành lợi thế. Gia tốc cũng ảnh hưởng đến thành tích trong các môn như đua xe, nhảy xa hay bóng đá.
Trong kỹ thuật và công nghiệp
Gia tốc được ứng dụng trong thiết kế máy móc, robot và hệ thống tự động. Các kỹ sư cần tính toán chính xác gia tốc để đảm bảo thiết bị hoạt động ổn định và an toàn.
Trong đời sống hàng ngày
Khi bạn đi thang máy, cảm giác nặng hơn hoặc nhẹ hơn chính là do sự thay đổi gia tốc. Khi đi xe qua đoạn đường gồ ghề, cơ thể bạn cũng chịu tác động của gia tốc.
Trong nghiên cứu khoa học
Gia tốc đóng vai trò quan trọng trong các nghiên cứu về chuyển động, lực và năng lượng. Đây là nền tảng để phát triển nhiều lĩnh vực như cơ học, hàng không và vũ trụ.
Công thức tính gia tốc là một kiến thức nền tảng trong vật lý, giúp chúng ta hiểu rõ sự thay đổi vận tốc của vật theo thời gian. Từ công thức cơ bản đến các dạng nâng cao, mỗi phần đều có vai trò quan trọng trong việc giải bài tập và ứng dụng thực tế.
LIÊN KẾT MẠNG XÃ HỘI